Background: Continuous lenalidomide in combination with dexamethasone (Rd), with bortezomib and dexamethasone (VRd) or, more recently, with daratumumab and dexamethasone (DRd) is the standard first-line (1L) therapy for transplant-ineligible multiple myeloma (MM) patients (pts). Lenalidomide maintenance is the standard therapy after ASCT. As a result, more pts with MM become LEN-refractory at relapse, representing a difficult-to-treat population with a high unmet need for effective treatments. Selinexor is a first-in-class, oral, XPO1 inhibitor indicated for use in combination with bortezomib and dexamethasone (SVd) in adults with relapsed and refractory (RR) MM who have received at least one prior line. Efficacy and safety of SVd were evaluated in the BOSTON phase 3 randomized controlled trial (RCT) comparing SVd to bortezomib + dexamethasone (Vd). Extended follow-up of the BOSTON trial showed a statistically significant improvement in progression-free survival (PFS) and overall survival (OS) with SVd vs Vd for the LEN-refractory subgroup (Mateos et al, EHA 2023). In the absence of head-to-head trials comparing SVd with other approved regimens in LEN-refractory subgroups, a network meta-analysis (NMA) was performed to evaluate the relative efficacy (PFS and OS) of SVd vs other treatment options in LEN-refractory pts.
Methods: A systematic literature review (SLR) was conducted to identify the clinical efficacy and safety evidence of the approved treatments in Europe for RR MM. Searches were performed in Medline, Embase, Cochrane, and CRD up to February 2023. Following a feasibility assessment, the RCTs reporting PFS and/or OS hazard ratios (HRs) in the LEN-refractory subgroup were summarized in separate PFS and OS networks. Because these networks were disconnected, a two-step approach was implemented, beginning with a matching-adjusted indirect comparison (MAIC) followed by a random-effects Bayesian NMA. Based on clinical input, different prognostic factors and treatment effect modifiers were considered for the matching process in the MAIC: median age, sex, ECOG performance status, Revised-International Staging System, high-risk cytogenetics, prior ASCT, number of prior regimens, and median time since diagnosis.
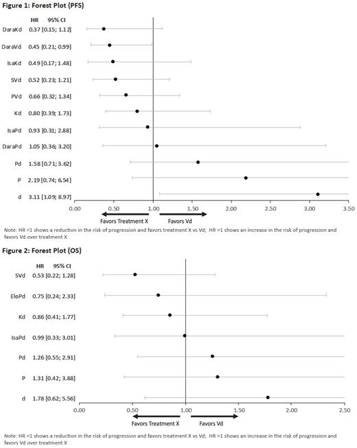
Results: Twelve RCTs (APOLLO, ASPIRE, BOSTON, CANDOR, CASTOR, ENDEAVOR, ELOQUENT-3, ICARIA-MM, IKEMA, MM-002, MM-003, and OPTIMISMM) were identified in the SLR reporting PFS and/or OS results for LEN-refractory pts. Three and two disconnected networks were formed for PFS and OS, respectively, which were linked through a MAIC by matching Vd pts in the BOSTON trial with the pomalidomide + dexamethasone (Pd) population of the MM-002 trial. Anti-CD38-based regimens approved in 2L+ RR MM, ie, daratumumab + Vd (DVd), daratumumab + carfilzomib + dexamethasone (DKd), and isatuximab + Kd (IKd) report the lowest PFS HRs vs Vd for LEN-refractory pts. SVd had the lowest PFS HR vs Vd (0.52, 95% CI 0.23-1.21) compared with the remaining comparators in the network. This includes SVd's direct comparators in the post-DRd population as per current ESMO MM guidelines: PFS HR of Kd vs Vd is 0.80 (95% CI 0.39-1.73) and PFS HR of pomalidomide + bortezomib + dexamethasone (PVd) vs Vd is 0.66 (95% CI 0.32-1.34), Figure 1. In the OS network, among the regimens included (with DKd, DVd and IKd excluded due to the lack of OS data on LEN-refractory pts), SVd also had the lowest OS HR vs Vd (0.53, 95% CI 0.22-1.28) compared with the other regimens, including Kd (HR vs Vd: 0.86, 95% CI 0.41-1.77), Figure 2.
Conclusion: This is the first two-step approach NMA linking the disconnected networks of treatments available for LEN-refractory pts using efficacy results for this subgroup from their respective RCTs. Excluding anti-CD38-based regimens, which are unlikely to be used in a 2L+ setting with DRd increasingly prescribed in 1L, SVd is the most efficacious treatment option for LEN-refractory pts among commonly used combinations such as PVd, Kd, and pomalidomide-based regimens, with a reduction of 48% in the risk of progression vs Vd. Moreover, among the regimens included in the OS network, SVd had the largest OS improvement vs Vd. We hypothesize the substantial reduction for LEN-refractory pts in the risk of progression and death of SVd vs Vd compared to most of the regimens included in the NMA is due to the two different mechanisms of action with SVd.
Disclosures
Kastritis:GSK: Honoraria, Research Funding; Janssen: Honoraria, Research Funding; Pfizer: Honoraria, Research Funding; Sanofi: Honoraria. Harvey:Menarini/Stemline: Consultancy. Cranmer:Menarini/Stemline: Consultancy. Bianco:Menarini - Stemline: Current Employment. Fenu:Menarini: Current Employment; Takeda: Ended employment in the past 24 months. La Porte:Menarini - Stemline: Current Employment. Ramasamy:AbbVie, Adaptive Biotechnologies, Amgen, Celgene (BMS), GSK, Janssen, Karyopharm, Oncopeptides, Pfizer, Sanofi, Takeda, Recordati pharma, Menarini Stemline: Speakers Bureau; AbbVie, Adaptive Biotechnologies, Amgen, Celgene (BMS), GSK, Janssen, Karyopharm, Oncopeptides, Pfizer, Sanofi, Takeda Recordati pharma, Menarini Stemline: Honoraria; Pfizer, GSK: Membership on an entity's Board of Directors or advisory committees; Amgen, Celgene (BMS), GSK, Janssen, Takeda: Research Funding.

This feature is available to Subscribers Only
Sign In or Create an Account Close Modal